반응형

Significant Figures 라는 낯선 개념에 살짝 당황하였지만 쉬운 개념이니 후다닥 익혀 봅니다.
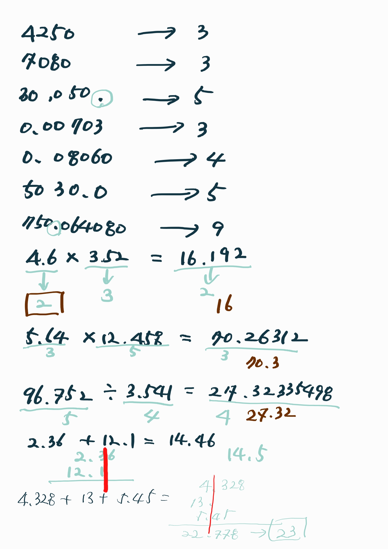
우리말로 하면 유효숫자라는 것인데 자릿수를 나타내는 0을 제외하는 개념입니다.
그래서 보통 과학에서 많이 쓰는 게 1400m 면 1.4x10의 3제곱으로 나타내는 거 생각 나실겁니다.
위 그림을 보시면 Dicimal Point를 찍지 않는 한 자릿수를 나타내는 숫자는 유효숫자에 포함하지 않습니다.
곱하기 나누기 계산할때는 유효숫자가 작은 것으로 결과를 표시합니다.
덧셈 뺄셈에서는 세로로 자리를 맞춰서 나타내면 됩니다.
그림을 보시면 바로 이해가 되실겁니다.
반응형
'영어공부' 카테고리의 다른 글
| 자주쓰는 일상 영어 대화 1 (0) | 2022.11.12 |
|---|---|
| 채팅용 줄임말 (영어) (0) | 2022.11.12 |
| 병원에서 의사가 하는 영어 표현들 (0) | 2022.04.14 |
| Problem and Solution Essay (0) | 2022.03.29 |
| 퍼센트, 비율, 분수와 관련된 어휘 (0) | 2022.02.08 |