영어공부 13

엘리베이터에서 쓰는 영어 표현

Can you hold it? Please 엘리베이터 좀 잡아주세요 Is it going up? or going down? 올라가나요? 내려가나요? I will take the next one. 다음 거 탈게요 I can hit it for you 제가 버튼 눌러 드릴게요 What floor are you going (up/down) to? 몇 층 (올라/내려)가세요? 혹은 Which(What) floor? Can you hit 19 please. 19층 좀 눌러주시겠어요? What floor do we have to get off on? 우리 몇층에서 내려야 해? We have to get off on the 9th floor. 우리는 9층에서 내려야 해 Excuse me, I'm getting off..

영어공부 2022.12.03

채팅용 줄임말 (영어)

LMAO: ‘laughing my ass off’의 줄임말, ‘엉덩이가 날아갈 버릴 정도로 웃다’ You can consider LMAO a bolder version of LOL LOL: ‘laugh out loud’의 줄임말로, ‘크게 웃다’. LML: Laughing mad aloud ROFL: ‘rolling on the floor laughing’의 줄임말, ‘바닥에서 구르면서 웃다’ ATM: at the moment,바로 지금 BTW: by the way, 그런데 CYA: See you later. 나중에 봐 Hagd: have a good day. MYOB: mind your own business. 너 일에나 신경 써 YGTBKM: you’ve got to be kidding me. IMH..

영어공부 2022.11.12

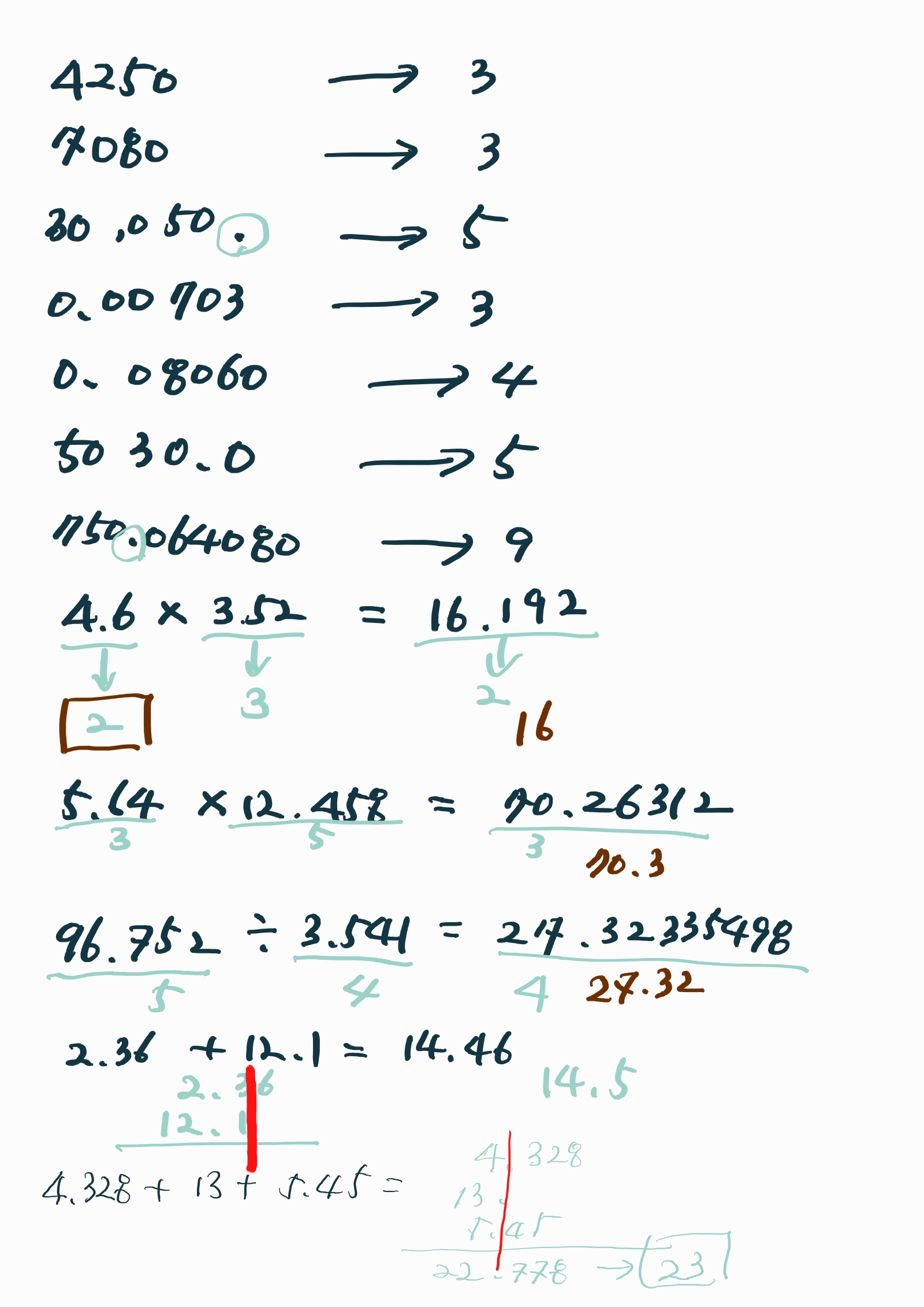
Significant Figures

Significant Figures 라는 낯선 개념에 살짝 당황하였지만 쉬운 개념이니 후다닥 익혀 봅니다. 우리말로 하면 유효숫자라는 것인데 자릿수를 나타내는 0을 제외하는 개념입니다. 그래서 보통 과학에서 많이 쓰는 게 1400m 면 1.4x10의 3제곱으로 나타내는 거 생각 나실겁니다. 위 그림을 보시면 Dicimal Point를 찍지 않는 한 자릿수를 나타내는 숫자는 유효숫자에 포함하지 않습니다. 곱하기 나누기 계산할때는 유효숫자가 작은 것으로 결과를 표시합니다. 덧셈 뺄셈에서는 세로로 자리를 맞춰서 나타내면 됩니다. 그림을 보시면 바로 이해가 되실겁니다.

영어공부 2022.09.14

병원에서 의사가 하는 영어 표현들

How can I help you? 어떻게 오셨어요? Do you have any pain? 어디가 아프세요? Do you feel chilly? 오한이 느껴지세요? Do you have any chronic diseases? 지병이 있나요? Do you have any allergies? 알레르기 있나요? Are you allergic to any medication? 약에 대한 알레르기 있나요? What are you allergic to? 무엇에 대한 알레르기인가요? Have you had any major illness in the past? 과거에 큰병 앓았던 적 있나요? Are you pregnant? 임신중인가요? Are you taking any medication right now? 현재..

영어공부 2022.04.14