마술가게

  • Home
  • Tag
  • Media
  • Location
  • Guest
  • Admin
  • Write

2022/09 2

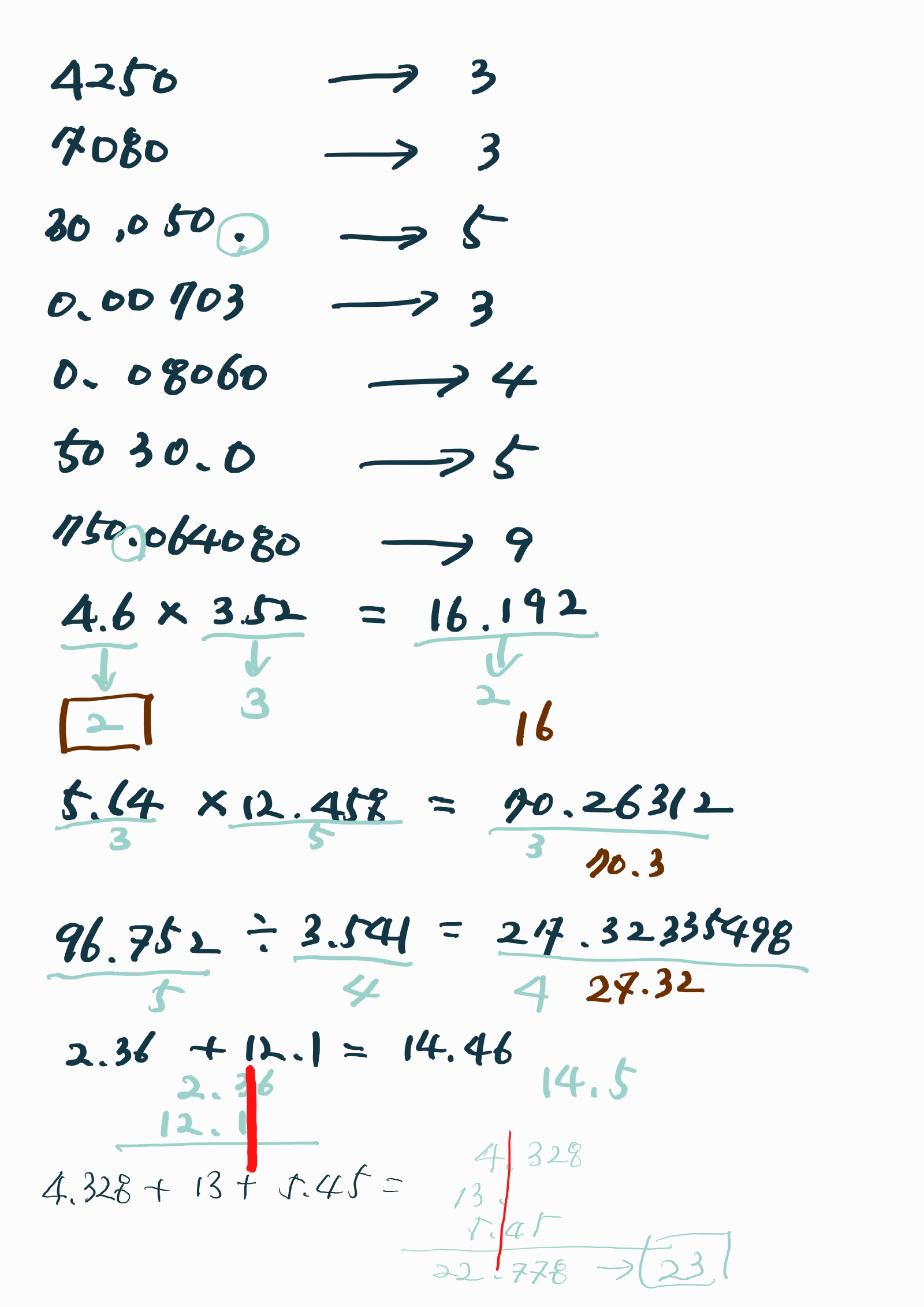
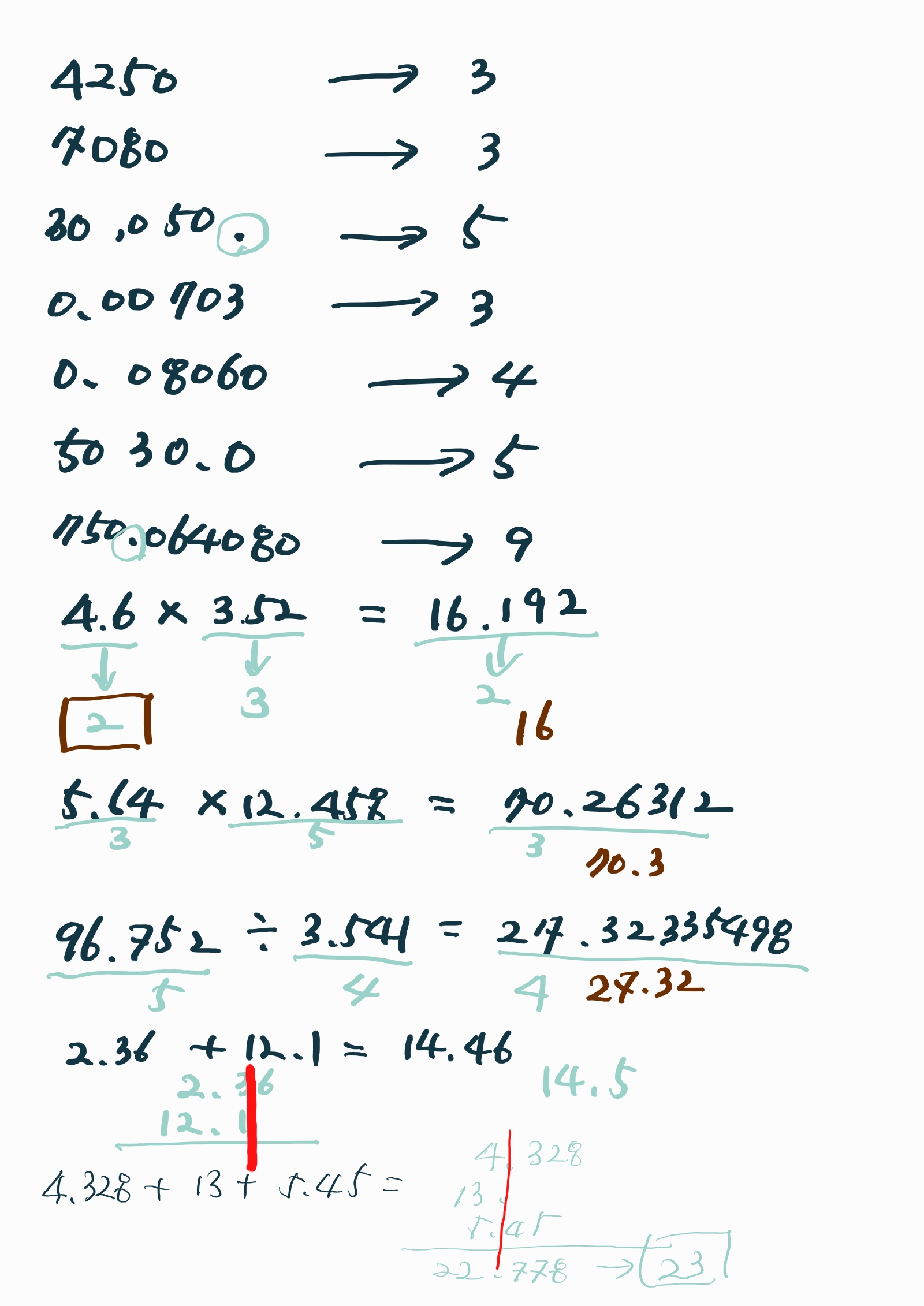
Significant Figures

Significant Figures 라는 낯선 개념에 살짝 당황하였지만 쉬운 개념이니 후다닥 익혀 봅니다. 우리말로 하면 유효숫자라는 것인데 자릿수를 나타내는 0을 제외하는 개념입니다. 그래서 보통 과학에서 많이 쓰는 게 1400m 면 1.4x10의 3제곱으로 나타내는 거 생각 나실겁니다. 위 그림을 보시면 Dicimal Point를 찍지 않는 한 자릿수를 나타내는 숫자는 유효숫자에 포함하지 않습니다. 곱하기 나누기 계산할때는 유효숫자가 작은 것으로 결과를 표시합니다. 덧셈 뺄셈에서는 세로로 자리를 맞춰서 나타내면 됩니다. 그림을 보시면 바로 이해가 되실겁니다.

영어공부 2022.09.14

캐나다 동전과 여왕 서거

미국과 캐나다 동전을 쉽게 구별하는 방법은 여왕이 있냐 없냐다. 여왕이 죽었으니 캐나다 동전이 바뀐단다. 캐나다 시민권을 얻을 때 하는 선서도 오늘자로 바뀌었단다. 여왕에서 왕으로… 공화주의자인 나는 이게 무슨 지랄인가 싶다.

사는이야기 2022.09.09
이전
1
다음
더보기
프로필사진

마술가게

주님의 목소리를 오늘 듣게 되거든, 너희 마음을 무디게 가지지 말라

  • 분류 전체보기 (725) N
    • 엑셀공부 (1)
    • 여행 (142)
      • 한국여행 (33)
      • 일본여행 (16)
      • 포르투갈여행 (10)
      • 공부여행 (3)
      • 중동여행 (2)
      • 쿠바여행 (1)
      • 오스트리아여행 (1)
      • 체코여행 (0)
      • 독일여행 (7)
      • 캐나다여행 (41)
      • 미국여행 (3)
    • 제품 Review (61)
      • 맥주이야기 (56)
    • 사는이야기 (256)
    • Mac & PDA (23)
    • 아무거나 (50)
    • 영어공부 (13)
    • 음악 (38)
    • 사진 (5)
    • Bike (12)
    • 캠핑 (11)
    • 요리 (24) N
    • medical story (75)

Tag

전주, 모터사이클로 일본여행하기, Canada, 밴쿠버, 한국요리, Vancouver, bc, 맥주, British Columbia, 포르투갈, 캠핑, 모터사이클로 세계여행, 음식, 캠핑카, 카라반, 걷기모임, beer, 캐나다, 시외버스, 여행,

최근글과 인기글

  • 최근글
  • 인기글

최근댓글

공지사항

  • medical story의 글은 퍼가시면 안됩니다.
  • About 마술가게
  • Medical story에 관해

페이스북 트위터 플러그인

  • Facebook
  • Twitter

Archives

Calendar

«   2022/09   »
일 월 화 수 목 금 토
1 2 3
4 5 6 7 8 9 10
11 12 13 14 15 16 17
18 19 20 21 22 23 24
25 26 27 28 29 30

방문자수Total

  • Today :
  • Yesterday :

Copyright © Kakao Corp. All rights reserved.

티스토리툴바